技術資料 制御風速 確認用のページを作成しました。
*労働災害防止のために独自に弊社が公開しているものです。
正式な届出、設計の際には、事業者様および労基のご担当者様と都度協議してください。
*最適な制御風速確認してみましょう。
制御風速は、フードの形状と使用する物質によって決まりがあります。
下記のセレクタボックスで、大きいほうの制御風速を選択します。
粉じん則に該当する作業は、フードの形状に依存します。
ex1.
フード形状:囲い式 0.7m/s 物質:コバルト(粉末)1.0m/s
フード形状<物質 なので、制御風速は1.0m/sを選択しましょう。



最適なフードが決まったら必要風量を計算してみましょう。
一般的なフードの計算ができます。
*テーブル付きのフード、スロット型フード、キャノピー型フードは計算方法が異なります。
*円形フードは直径を入力してください。面積計算を自動で行います。
①囲い式フード
計算結果(m3/min):
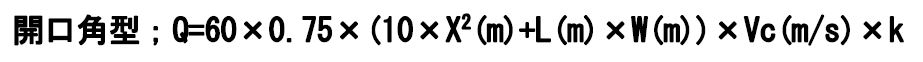
②外付け式フード

③フランジ付 外付け式フード

| 開口面積(m2) | ~0.25 | ~0.5 | ~1.0 | ~2.0 | ~3.0 | ~4.0 |
|---|---|---|---|---|---|---|
| 囲い式 | 1.1 | 1.1 | 1.2 | 1.3 | 1.5 | 1.8 |
| 外付け式 | 1.1 | 1.2 | 1.3 | 1.5 | 1.8 | 2.2 |
必要風量を計算したら、ダクトの経路を計画しましょう。
ダクトの経路に合わせて、圧力計算を行います。
圧力損失計算シート